发布时间:2020/08/10 报告与公告
风险提示:
(一)本次交易相关风险
1、收购整合风险
本次交易为上市公司拟以自有资金支付现金方式收购海南华多100%股权及杭州雷焰100%股权,由此切入移动网络游戏行业,打造新的业绩增长点。本次交易完成后,海南华多和杭州雷焰将成为公司的全资子公司。交易完成后,公司能否对海南华多和杭州雷焰实施有效整合,既保证上市公司对目标公司的控制力,又保持其原有的竞争优势,具有一定的不确定性,进而可能影响本次交易的最终效果。
2、交易标的估值增值率较高及商誉减值的风险
根据中水致远资产评估有限公司(以下简称“中水致远”)出具的资产评估报告,于评估基准日2020年3月31日,海南华多采用收益法评估后的股东全部权益价值为13,262.00万元,杭州雷焰采用收益法评估后的股东全部权益价值为12,869.00万元,参考估值结果,交易各方商定海南华多100%股权及杭州雷焰100%股权的作价结果分别为13,262.00万元和12,869.00万元。
海南华多及杭州雷焰截至2020年3月31日的净资产账面价值分别为1,125.21万元和-745.08万元,估值结果较账面净资产增值率分别为1,078.62%和1,827.20%。本次交易标的资产的全部股东权益价值的估值增值幅度较大,主要由于标的公司属于轻资产企业,其业务能力、管理能力、技术优势和市场资源等资源并未在会计报表中直接体现。虽然评估机构在估值过程进行审慎评估,但仍可能出现因未来实际情况与估值假设不一致,特别是宏观经济波动、行业监管变化及游戏营销行业竞争环境变化,未来盈利达不到估值时的预测值,导致对上市公司股东利益造成损害,提请投资者关注交易标的估值增值率较高导致的相关风险。
此外由于标的资产的成交价格较账面净资产增值较高,收购完成后公司将会确认较大商誉,若标的资产在未来经营中不能较好的实现收益,收购标的资产所形成的商誉则将存在较高的减值风险,从而影响当期损益。
3、业绩承诺无法实现及业绩补偿违约的风险
本次交易交易对方许洪健承诺海南华多2020年4-12月、2021年度和2022年度累计实现的净利润不低于9,100万元,杨淑婷承诺杭州雷焰2020年4-12月、2021年度和2022年度累计实现的净利润不低于10,900万元。
交易对方就标的公司作出的业绩承诺主要系基于对所属行业的未来发展前景以及自身的技术能力、研发能力做出的综合判断,业绩承诺方将努力经营,尽量确保上述盈利承诺实现,但最终能否实现业绩承诺一方面取决于外部环境是否发生巨大变化,另一方面取决于标的资产的实际经营情况,如果未来标的公司在被上市公司收购后出现经营未达预期的情况,则可能影响上市公司的整体经营业绩和盈利水平。
根据上市公司与交易对方签署的交易协议,交易对方承诺如标的公司实际净利润未达到承诺净利润触发补偿时,交易对方需向上市公司支付现金补偿。针对标的公司未完成业绩承诺设置的补偿方案,可在较大程度上保障上市公司及广大股东的利益,降低本次交易的风险,但当交易对方无足够现金支付业绩补偿时,则存在交易对方无法履行业绩补偿承诺的情况,提请投资者注意相关风险。
4、交易审批风险
本次收购事宜尚需上市公司股东大会审议通过,因此本次交易存在一定不确定性。
(二)标的公司经营风险
1、标的公司对主要游戏产品的依赖风险
目前,海南华多的主要收入来自于《王者国度》,杭州雷焰的主要收入则来自于《百龙霸业》,两家公司来自爆款游戏的收入占比超过90%,占比较高。由于游戏产品具有生命周期,使得游戏研发及运营企业需要持续地推出有影响力的新产品并尽可能延长游戏产品的生命周期,以保持收入与业绩的稳定增长。而游戏用户的充值金额最终决定标的公司的收入水平,游戏用户的充值很大程度上取决于游戏产品的质量及游戏代理运营推广商的运营推广能力。虽然海南华多及杭州雷焰研发的主要游戏产品产生了较好的用户充值流水,标的公司主要在营游戏产品在业内形成了一定的品牌知名度,在对优质游戏产品的把握、游戏产品的测试、游戏产品的设计研发等方面积累了较为丰富的经验,且均已对未来拟推出上线的游戏产品有所储备,但未来如标的公司未能开发出有影响力的产品,其研发的游戏产品不能保持对玩家的持续吸引力,则标的公司的业绩可能出现下滑,可能导致盈利预测及业绩承诺无法实现,提请投资者注意相关风险。
2、监管政策风险
互联网和网络游戏行业的法律监管体系正处于不断发展和完善的过程中,如果国家对互联网和网络游戏行业监管政策发生不利变化,可能会影响游戏厂商的长远发展,也将影响标的公司的盈利能力,从而对公司的经营业绩产生一定程度的不利影响。
3、核心人员流失和不足
如果标的公司不能引进并保留与其发展所需密切相关的技术及研发人才,标的公司的经营运作、发展空间及盈利水平将会受到不利的影响。
一、交易概述
2020年8月7日,公司分别与许洪健、杨淑婷签署了《股权转让协议》,公司拟以自有资金现金支付方式收购许洪健持有的海南华多网络科技有限公司(以下简称“海南华多”)100%股权及杨淑婷持有的杭州雷焰网络科技有限公司(以下简称“杭州雷焰”)100%股权。交易作价以中水致远出具的资产评估报告为参考,其中海南华多100%股权对应收购价款人民币13,262万元,杭州雷焰100%股权对应收购价款人民币12,869万元,收购完成后,公司新增以移动网络游戏产品的研发为基础的文化创意业务,培育新的业绩增长点。
本次交易已经公司第二届董事会第十一次会议和第二届监事会第十一次会议审议通过,独立董事已对本次交易事项发表明确同意的独立意见。本次交易尚需提交股东大会审议。
本次交易行为不构成关联交易,也不构成《上市公司重大资产重组管理办法》规定的重大资产重组。
二、交易对手方情况
(一)许洪健
本次收购海南华多100%股权的交易对手方为许洪健先生。
|
项目 |
内容 |
|
|
姓名 |
许洪健 |
|
|
曾用名 |
无 |
|
|
性别 |
男 |
|
|
国籍 |
中国 |
|
|
身份证号 |
330103********1637 |
|
|
住所 |
杭州市下城区朝晖五区**幢*单元**室 |
|
|
通信地址 |
杭州市下城区朝晖五区**幢*单元**室 |
|
|
是否取得其他国家或者地区的居留权 |
否 |
|
(二)杨淑婷
本次收购杭州雷焰100%股权的交易对手方为杨淑婷女士。
|
项目 |
内容 |
|
|
姓名 |
杨淑婷 |
|
|
曾用名 |
无 |
|
|
性别 |
女 |
|
|
国籍 |
中国 |
|
|
身份证号 |
330104********2320 |
|
|
住所 |
杭州市西湖区湖畔花园北区*幢*单元***室 |
|
|
通信地址 |
杭州市西湖区湖畔花园北区*幢*单元***室 |
|
|
是否取得其他国家或者地区的居留权 |
否 |
|
(三)其他情况说明
以上交易对方与上市公司之间均不存在产权、业务、资产、债权债务、人员等方面的关系。
三、标的公司基本情况
(一)海南华多
1、公司概况
|
项目 |
内容 |
|
企业名称 |
海南华多网络科技有限公司 |
|
统一社会信用代码 |
91469027MA5T40AWXE |
|
企业类型 |
有限责任公司(自然人独资) |
|
成立日期 |
2018年4月18日 |
|
法定代表人 |
许洪健 |
|
注册资本 |
1,000万元人民币 |
|
注册地址 |
海南省老城高新技术产业示范区海南生态软件园A17幢一层1001 |
|
经营范围 |
网络科技产品领域内的技术开发、技术转让、技术咨询、技术服务;网络游戏的开发、运营及推广;从事互联网信息服务、文化经营活动;计算机网络工程、软件工程的开发及维护;企业管理咨询;从事广告业务;设计、制作、代理、发布各类广告,多媒体制作;市场营销策划;文化活动策划。 |
海南华多是一家以移动游戏、网页游戏的研发与运维为核心业务的公司,海南华多目前有2款运营上线游戏,分别是1款页游《乱斗乾坤》和1款手游《王者国度》,其中手游产品《王者国度》月流水持续数月过亿元,月峰值流水高达3.5亿元,系海南华多成功打造的爆款游戏。
海南华多核心团队拥有8年以上行业经验,拥有较强的技术开发能力和丰富的市场运作、管理经验。海南华多目前研发重点在于移动游戏,主要类型是MMORPG(大型多人在线角色扮演类)游戏和SLG(战略游戏),产品风格偏向写实,在研储备项目2款,已上线运营的游戏产品取得的成绩,有效验证了海南华多高效的研发实力和商业化产品开发能力。
2、股权结构
截至公告日,海南华多的股权结构如下:
|
序号 |
股东名称 |
认缴出资额 |
实缴出资额 |
股权比例 |
|
1 |
许洪健 |
1,000万元 |
- |
100% |
|
|
合计 |
1,000万元 |
- |
100% |
注:根据海南华多公司章程的规定,上述股东应在2037年1月1日前足额缴纳认缴的注册资本。
3、财务状况
单位:万元
|
项目 |
2020年3月31日 |
2019年12月31日 |
|
|
资产总额 |
15,827.54 |
10,159.44 |
|
|
负债总额 |
14,702.33 |
4,297.86 |
|
|
净资产 |
1,125.21 |
5,861.57 |
|
|
项目 |
2020年1-3月 |
2019年度 |
|
|
营业收入 |
7,834.42 |
11,179.42 |
|
|
利润总额 |
6,794.93 |
8,164.97 |
|
|
净利润 |
5,163.63 |
6,416.89 |
|
注:上述2019年度及2020年1-3月财务数据已经致同会计师事务所(特殊普通合伙)审计,并出具致同审字(2020)第351ZB11122号《审计报告》。
4、权属状况
本次交易的标的公司海南华多股权清晰,不存在抵押、质押及其他任何限制转让的情况,不涉及诉讼、仲裁事项或查封、冻结等司法措施,且不存在妨碍权属转移的其他情况。
5、评估情况
(1)评估结果
本次交易标的之一海南华多100%股权的作价,以海南华多股东全部权益价值截至2020年3月31日根据收益法进行评估的评估结果为依据。根据中水致远出具的《名臣健康用品股份有限公司拟收购股权所涉及的海南华多网络科技有限公司股东全部权益价值项目资产评估报告》(中水致远评报字[2020]第070017号),海南华多在评估基准日2020年3月31日的净资产账面价值为1,125.21万元,采用收益法评估后的股东全部权益价值为13,262.00万元,评估增值12,136.79万元,增值率为1,078.62%。经各方协商,一致确认本次交易的海南华多100%股权的交易对价为13,262.00万元。
(2)增值原因
采用收益法评估后的海南华多股东全部权益价值比账面净资产增值12,136.79万元,增值的主要原因在于:
收益法评估是立足于判断资产获利能力的角度,将被评估单位预期收益资本化或折现,以评价评估对象的价值。海南华多主要从事网络游戏的研发,是典型的轻资产公司,大量对企业收益产生重要影响的资源,如企业资质、人力资本等不符合会计资产定义的资产,均未在资产负债表中反映,或未在会计计量方面体现为企业权益。
收益法评估中综合分析了海南华多历史经营业绩、现有业务状况,并结合企业未来发展规划和行业发展趋势等因素,对海南华多提供的未来收益预测数据进行了分析和核实,并以此为基础以现金流折现模型计算得到了收益法的评估结果。收益法的评估结果体现了无法在资产负债表中体现的企业所拥有的研发能力、人力资源、管理能力等因素的价值,从而形成了较账面净资产较大的增值。
(3)收益法评估主要过程及参数
1)收益口径——企业自由现金流量
对海南华多进行收益法评估采用的收益类型为企业自由现金流量。企业自由现金流量指的是归属于包括股东和付息债权人在内的所有投资者的现金流量,其计算公式为:企业自由现金流量=税后净利润+折旧与摊销+利息费用(扣除税务影响后)-资本性支出-净营运金变动
关于企业自由现金流量的预测详见下文海南华多《股东全部权益价值测算表》。
2)关于折现率
本次评估采用企业的加权平均资本成本(WACC)作为企业自由现金流量的折现率。企业的资金来源有若干种,如股东投资、债券、银行贷款、融资租赁和留存收益等。加权平均资本成本是指以某种筹资方式所筹措的资本占资本总额的比重为权重,对各种筹资方式获得的个别资本成本进行加权平均所得到的资本成本。WACC的计算公式为:
其中:
E:为评估对象目标股权权益价值;
D:为评估对象目标债务资本价值;
Re:为股东权益资本成本
Rd:为借入资本成本
T:为公司适用的企业所得税税率
其中Rd债务成本的确定,收益法评估是建立在对未来的预期基础上的,所取的参数应是对评估基准日后的合理估计。企业无有息负债,预期债务成本为0。
其中Re股东权益资本成本采用资本资产定价模型(CAPM)计算确定:
其中:
Rf——无风险报酬率;
βe——企业的风险系数;
Rm——市场期望收益率;
α——企业特定风险调整系数。
对于该资本资产定价模型公式中涉及的各参数确定过程如下:
①无风险报酬率
评估机构选择当前中、长期国债利率作为无风险收益率。由于在交易所交易的,按年付息、2019年发行的十年期记账式国债于2019年末收益率平均值3.14%,据此确定Rf =3.14%。
②公司系统风险系数βe
βe为衡量公司系统风险的指标。由于海南华多是非上市公司,无法直接取得其贝塔值,评估机构通过对与海南华多同属手游行业的国内上市公司的分析来间接确定海南华多的贝塔值,最终选择了拟合度较高的5只股票作为行业样本,进行贝塔值测算。
由于该类公司的资本结构各不相同,评估人员所观察到的企业贝塔值包含了企业资本结构特性的成分。为了更加准确地反映企业所处行业的风险水平,评估人员需要对所观察到的公司股票的贝塔值进行调整,以便确定企业在无杠杆情况下的风险系数βu。具体调整方法如下:
5家上市公司的计算结果如下表:
|
序号 |
股票代码 |
股票名称 |
原始βe |
企业所得税率 |
无杠杆权益βu值 |
|
1 |
603258.SH |
电魂网络 |
1.2094 |
15% |
1.2094 |
|
2 |
603444.SH |
吉比特 |
0.9273 |
10% |
0.9257 |
|
3 |
002174.SZ |
游族网络 |
0.8528 |
25% |
0.7524 |
|
4 |
002555.SZ |
三七互娱 |
0.8280 |
25% |
0.8196 |
|
5 |
300052.SZ |
中青宝 |
1.1278 |
15% |
1.0904 |
|
|
平均 |
|
0.9544 |
|
0.9595 |
最终,评估机构将5家代表相关行业的企业贝塔值求平均得出行业的无杠杆权益贝塔值0.9595。之后,进一步计算本次所用的企业贝塔值:
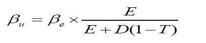
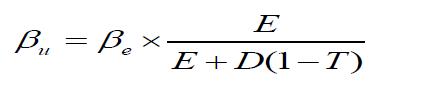
其中:D/E为企业实际数值,T为企业所得税税率,按25%计算。因此实际企业贝塔值为0.9595。
③市场风险溢价(Rm-Rf)
(Rm-Rf)为市场风险溢价,即通常指股市指数平均收益率超过平均无风险收益率(通常指中长期国债收益率)的部分。根据评估机构的综合研究结果,目前对国内的市场风险溢价采用7.12%数值。
④特定风险调整系数α
根据海南华多所在手机游戏行业的情况,考虑到被评估企业的历史经营情况、企业的财务风险、业务状况和公司内部管理及控制机制等综合分析,评估机构确定个别风险调整系数为4%。
3)关于收益期
本次评估采用永续年期作为收益期。其中,第一阶段为2020年4月1日至2025年12月31日,共计5年零9个月,在此阶段根据海南华多的经营情况,收益状况处于变化中;第二阶段为2026年1月1日至永续经营,在此阶段海南华多基本保持2025年预测的稳定收益水平考虑。
4)收益法的评估计算公式
本次采用收益法的计算公式为:
式中:
P—为企业股东全部权益;
Ai—企业近期处于收益变动期的第i年的企业自由现金流量;
A—企业收益稳定期的持续而稳定的年企业自由现金流量;
R—折现率;
n—企业收益变动期预测年限;
B—企业评估基准日付息债务的现值;
OE—企业评估基准日非经营性、溢余资产与负债总和的现值
5)企业股东全部权益价值收益法评估测算表
单位:万元
|
序号 |
项目/年度 |
2020年4-12月 |
2021年 |
2022年 |
2023年 |
2024年 |
2025年 |
永续期 |
|
1 |
一.营业总收入 |
7,118.61 |
6,444.19 |
5,501.89 |
4,924.53 |
4,358.49 |
4,358.49 |
4,358.49 |
|
2 |
其中:主营业务收入 |
7,118.61 |
6,444.19 |
5,501.89 |
4,924.53 |
4,358.49 |
4,358.49 |
4,358.49 |
|
3 |
其他业务收入 |
- |
- |
- |
- |
- |
- |
- |
|
4 |
二.营业总成本 |
486.23 |
459.64 |
415.94 |
406.46 |
392.41 |
398.57 |
399.07 |
|
5 |
其中:主营业务成本 |
486.23 |
459.64 |
415.94 |
406.46 |
392.41 |
398.57 |
399.07 |
|
6 |
其他业务成本 |
- |
- |
- |
- |
- |
- |
- |
|
7 |
税金及附加 |
39.04 |
34.25 |
29.22 |
25.77 |
22.76 |
22.64 |
22.64 |
|
8 |
销售费用 |
- |
- |
- |
- |
- |
- |
- |
|
9 |
管理费用 |
326.97 |
461.23 |
478.75 |
499.84 |
512.89 |
526.56 |
527.97 |
|
10 |
研发费用 |
1,337.32 |
1,799.95 |
1,867.74 |
1,950.53 |
2,003.03 |
2,057.66 |
2,060.77 |
|
11 |
财务费用 |
0.14 |
0.19 |
0.19 |
0.19 |
0.19 |
0.19 |
0.19 |
|
12 |
其他收益 |
- |
- |
- |
- |
- |
- |
- |
|
13 |
三.营业利润 |
4,928.91 |
3,688.93 |
2,710.05 |
2,041.74 |
1,427.21 |
1,352.87 |
1,347.85 |
|
14 |
加:营业外收入 |
- |
- |
- |
- |
- |
- |
- |
|
15 |
减:营业外支出 |
- |
- |
- |
- |
- |
- |
- |
|
16 |
四.利润总额 |
4,928.91 |
3,688.93 |
2,710.05 |
2,041.74 |
1,427.21 |
1,352.87 |
1,347.85 |
|
17 |
企业所得税率 |
25% |
25% |
25% |
25% |
25% |
25% |
25% |
|
18 |
减:所得税 |
1,020.40 |
734.19 |
482.74 |
307.15 |
148.88 |
125.48 |
123.84 |
|
19 |
五.净利润 |
3,908.51 |
2,954.74 |
2,227.31 |
1,734.59 |
1,278.33 |
1,227.39 |
1,224.01 |
|
20 |
加:固定资产折旧 |
21.10 |
37.46 |
28.21 |
28.09 |
18.65 |
9.32 |
14.34 |
|
21 |
摊销 |
4.85 |
5.39 |
- |
- |
- |
- |
- |
|
22 |
利息费用(扣除税务影响后) |
- |
- |
- |
- |
- |
- |
- |
|
23 |
减:营运资金追加额 |
-5,684.13 |
-2,973.31 |
-277.36 |
-160.69 |
-163.32 |
12.43 |
- |
|
24 |
减:资本性支出 |
- |
29.44 |
29.44 |
29.44 |
- |
- |
14.34 |
|
25 |
六.企业自由现金流量 |
9,618.59 |
5,941.46 |
2,503.44 |
1,893.93 |
1,460.30 |
1,224.28 |
1,224.01 |
|
26 |
1、年折现率 |
13.97% |
13.97% |
13.97% |
13.97% |
13.97% |
13.97% |
13.97% |
|
27 |
2、折现期 |
0.3750 |
1.2500 |
2.2500 |
3.2500 |
4.2500 |
5.2500 |
|
|
28 |
3、折现系数 |
0.9521 |
0.8492 |
0.7451 |
0.6538 |
0.5737 |
0.5034 |
3.6034 |
|
29 |
4、自由现金流量折现值 |
9,157.86 |
5,045.49 |
1,865.31 |
1,238.25 |
837.77 |
616.30 |
4,410.60 |
|
30 |
4、企业现金流量的折现值评估值 |
23,171.58 |
5、加:企业溢余及非经营性资产 |
-9,909.23 |
||||
|
31 |
6、减:有息负债 |
- |
7、企业股东全部权益价值评估值 |
13,262.00 |
||||
(4)资产基础法评估主要项目构成
经资产基础法评估,海南华多总资产账面价值为15,827.54万元,评估价值为16,392.49万元,增值额为564.95万元,增值率为3.57%,总负债账面价值为14,702.33万元,评估价值为14,702.33万元,评估无增减值;净资产账面价值为1,125.21万元,评估价值为1,690.16万元,增值额为564.95万元,增值率50.21%,详见下表:
单位:万元
|
项目 |
账面价值 |
评估价值 |
增减值 |
增值率 |
|
|
A |
B |
C=B-A |
D=C/A×100% |
||
|
1 |
流动资产 |
15,585.86 |
15,585.86 |
- |
- |
|
2 |
非流动资产 |
241.68 |
806.63 |
564.95 |
233.76 |
|
3 |
其中:固定资产 |
63.37 |
60.86 |
-2.51 |
-3.96 |
|
4 |
在建工程 |
- |
- |
- |
- |
|
5 |
无形资产 |
10.25 |
577.71 |
567.46 |
5,537.23 |
|
6 |
其他非流动资产 |
168.06 |
168.06 |
- |
- |
|
7 |
资产总计 |
15,827.54 |
16,392.49 |
564.95 |
3.57 |
|
8 |
流动负债 |
14,701.64 |
14,701.64 |
- |
- |
|
9 |
非流动负债 |
0.70 |
0.70 |
- |
- |
|
10 |
负债总计 |
14,702.33 |
14,702.33 |
- |
- |
|
11 |
净资产(所有者权益) |
1,125.21 |
1,690.16 |
564.95 |
50.21 |
资产评估法下,海南华多的无形资产评估增值较大,本次纳入评估范围的无形资产系海南华多外购游戏独家运营版权和账外软件著作权,在评估中采用了销售收入分成的收益法评估方法,导致相较于账面值出现增值。
(二)杭州雷焰
1、公司概况
|
项目 |
内容 |
|
企业名称 |
杭州雷焰网络科技有限公司 |
|
统一社会信用代码 |
91330106MA2CDXJC1A |
|
企业类型 |
有限责任公司(自然人独资) |
|
成立日期 |
2018年8月24日 |
|
法定代表人 |
杨淑婷 |
|
注册资本 |
1,000万元人民币 |
|
注册地址 |
浙江省杭州市余杭区中泰街道绿泰路5号3幢4楼403室 |
|
经营范围 |
许可项目:互联网信息服务;第二类增值电信业务;网络文化经营(依法须经批准的项目,经相关部门批准后方可开展经营活动,具体经营项目以审批结果为准)。一般项目:技术服务、技术开发、技术咨询、技术交流、技术转让、技术推广;软件开发;网络技术服务;计算机软硬件及辅助设备批发;计算机软硬件及辅助设备零售(除依法须经批准的项目外,凭营业执照依法自主开展经营活动)。 |
杭州雷焰是一家以移动游戏产品的研发和运维为核心业务的公司,目前已上线运营放置类游戏产品《百龙霸业》以及《群英列传》、《英雄三国志》(H5),《百龙霸业》自2019年底上线以来表现良好,月峰值流水超过1亿元。杭州雷焰的核心团队具有10年以上的游戏行业从业经验,公司游戏研发重点在于MMORPG(大型多人在线角色扮演类)、回合制、卡牌等游戏,画风包括写实、二次元等品类。目前拥有两款手游产品《我的战盟》、《艾丽丝计划》在研。
2、股权结构
截至公告日,杭州雷焰的股权结构如下:
|
序号 |
股东名称 |
认缴出资额 |
实缴出资额 |
股权比例 |
|
1 |
杨淑婷 |
1,000万元 |
- |
100% |
|
|
合计 |
1,000万元 |
- |
100% |
注:根据杭州雷焰公司章程的规定,上述股东应在2048年8月16日前足额缴纳认缴的注册资本。
3、杭州雷焰财务状况
单位:万元
|
项目 |
2020年3月31日 |
2019年12月31日 |
|
|
资产总额 |
5,876.84 |
2,566.28 |
|
|
负债总额 |
6,621.92 |
5,930.19 |
|
|
净资产 |
-745.08 |
-3,363.91 |
|
|
项目 |
2020年1-3月 |
2019年度 |
|
|
营业收入 |
4,727.96 |
596.37 |
|
|
利润总额 |
3,258.52 |
-3,813.29 |
|
|
净利润 |
2,618.83 |
-2,179.19 |
|
注:上述2019年度及2020年1-3月财务数据已经致同会计师事务所(特殊普通合伙)审计,并出具致同审字(2020)第351ZB11124号《审计报告》
4、杭州雷焰的权属状况
本次交易的标的公司杭州雷焰股权清晰,不存在抵押、质押及其他任何限制转让的情况,不涉及诉讼、仲裁事项或查封、冻结等司法措施,且不存在妨碍权属转移的其他情况。
5、杭州雷焰的评估情况
(1)评估结果
本次交易标的之一杭州雷焰100%股权的作价,以杭州雷焰股东全部权益价值截至2020年3月31日根据收益法进行评估的评估结果为依据。根据中水致远出具的《名臣健康用品股份有限公司拟收购股权所涉及的杭州雷焰网络科技有限公司股东全部权益价值项目资产评估报告》(中水致远评报字[2020]第070018号),杭州雷焰在评估基准日2020年3月31日的净资产账面价值为-745.08万元,采用收益法评估后的股东全部权益价值为12,869.00万元,评估增值13,614.08万元,增值率为1,827.20%。经各方协商,一致确认本次交易的杭州雷焰100%股权的交易对价为12,869.00万元。
(2)增值原因
采用收益法评估后的杭州雷焰股东全部权益价值比账面净资产增值13,614.08万元,增值的主要原因在于:
收益法评估是立足于判断资产获利能力的角度,将被评估单位预期收益资本化或折现,以评价评估对象的价值。杭州雷焰主要从事移动游戏产品的研发和运维,是典型的轻资产公司,大量对企业收益产生重要影响的资源,如企业资质、人力资本等不符合会计资产定义的资产,均未在资产负债表中反映,或未在会计计量方面体现为企业权益。
收益法评估中综合分析了杭州雷焰历史经营业绩、现有业务状况,并结合企业未来发展规划和行业发展趋势等因素,对杭州雷焰提供的未来收益预测数据进行了分析和核实,并以此为基础以现金流折现模型计算得到了收益法的评估结果。收益法的评估结果体现了无法在资产负债表中体现的企业所拥有的研发能力、人力资源、管理能力等因素的价值,从而形成了较账面净资产较大的增值。
(3)收益法评估主要过程及参数
1)收益口径——企业自由现金流量
对杭州雷焰进行收益法评估采用的收益类型为企业自由现金流量。企业自由现金流量指的是归属于包括股东和付息债权人在内的所有投资者的现金流量,其计算公式为:企业自由现金流量=税后净利润+折旧与摊销+利息费用(扣除税务影响后)-资本性支出-净营运金变动
关于企业自由现金流量的预测详见下文杭州雷焰《股东全部权益价值测算表》。
2)关于折现率
本次采用企业的加权平均资本成本(WACC)作为企业自由现金流量的折现率。企业的资金来源有若干种,如股东投资、债券、银行贷款、融资租赁和留存收益等。加权平均资本成本是指以某种筹资方式所筹措的资本占资本总额的比重为权重,对各种筹资方式获得的个别资本成本进行加权平均所得到的资本成本。WACC的计算公式为:
其中:
E:为评估对象目标股权权益价值;
D:为评估对象目标债务资本价值;
Re:为股东权益资本成本
Rd:为借入资本成本
T:为公司适用的企业所得税税率
其中Rd债务成本的确定,收益法评估是建立在对未来的预期基础上的,所取的参数应是对评估基准日后的合理估计。合理估计。考虑到企业目前账上的借款为短期借款,本次评估评估机构采用企业实际借款利率4.5%作为债务成本计算基数。由于是按月付息,应按下式折算为复利年利率:
Rd=(1+4.5%÷12)^12-1=4.59%。
其中Re股东权益资本成本采用资本资产定价模型(CAPM)计算确定:
其中:
Rf——无风险报酬率;
βe——企业的风险系数;
Rm——市场期望收益率;
α——企业特定风险调整系数。
对于该资本资产定价模型公式中涉及的各参数确定过程如下:
①无风险报酬率
评估机构选择当前中、长期国债利率作为无风险收益率。由于在交易所交易的,按年付息、2019年发行的十年期记账式国债于2019年末收益率平均值3.14%,据此确定Rf =3.14%。
②公司系统风险系数βe
βe为衡量公司系统风险的指标。由于杭州雷焰是非上市公司,无法直接取得其贝塔值,同时杭州雷焰为手机游戏的研发及运维企业,属于手机游戏行业,评估机构最终选择了拟合度较高的5只股票作为行业样本,进行贝塔值测算。
由于该类公司的资本结构各不相同,评估机构所观察到的企业贝塔值包含了企业资本结构特性的成分。为了更加准确地反映企业所处行业的风险水平,评估机构需要对所观察到的公司股票的贝塔值进行调整,以便确定企业在无杠杆情况下的风险系数βu。具体调整方法如下:

5家上市公司的计算结果如下表:
|
序号 |
股票代码 |
股票名称 |
原始βe |
企业所得税率 |
无杠杆权益βu值 |
|
1 |
603258.SH |
电魂网络 |
1.2094 |
15% |
1.2094 |
|
2 |
603444.SH |
吉比特 |
0.9273 |
10% |
0.9257 |
|
3 |
002174.SZ |
游族网络 |
0.8528 |
25% |
0.7524 |
|
4 |
002555.SZ |
三七互娱 |
0.8280 |
25% |
0.8196 |
|
5 |
300052.SZ |
中青宝 |
1.1278 |
15% |
1.0904 |
|
|
平均 |
|
0.9544 |
|
0.9595 |
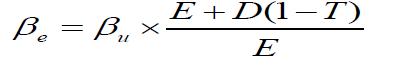
其中:D/E为同行业企业的资金结构确定目标资本结构,T为企业所得税税率,按25%计算。因此实际企业贝塔值为0.9932。
③市场风险溢价(Rm-Rf)
(Rm-Rf)为市场风险溢价,即通常指股市指数平均收益率超过平均无风险收益率(通常指中长期国债收益率)的部分。评估机构综合研究的结果,目前对国内的市场风险溢价采用7.12%数值。
④特定风险调整系数α
根据杭州雷焰所在手机游戏行业的情况,考虑到被评估企业的历史经营情况、企业的财务风险、业务状况和公司内部管理及控制机制等综合分析,评估人员确定个别风险调整系数为4%。
3)关于收益期
本次评估采用永续年期作为收益期。其中,第一阶段为2020年4月1日至2025年12月31日,共计5年零9个月,在此阶段根据杭州雷焰的经营情况,收益状况处于变化中;第二阶段为2026年1月1日至永续经营,在此阶段杭州雷焰基本保持2025年预测的稳定收益水平考虑。
4)收益法的评估计算公式
本次采用收益法的计算公式为:
式中:
P—为企业股东全部权益;
Ai—企业近期处于收益变动期的第i年的企业自由现金流量;
A—企业收益稳定期的持续而稳定的年企业自由现金流量;
R—折现率;
n—企业收益变动期预测年限;
B—企业评估基准日付息债务的现值;
OE—企业评估基准日非经营性、溢余资产与负债总和的现值
5)企业股东全部权益价值收益法评估测算表
单位:万元
|
序号 |
项目/年度 |
2020年4-12月 |
2021年 |
2022年 |
2023年 |
2024年 |
2025年 |
永续期 |
|
1 |
一.营业总收入 |
10,552.61 |
7,808.49 |
6,946.54 |
6,651.65 |
6,322.64 |
6,380.50 |
6,380.50 |
|
2 |
其中:主营业务收入 |
10,552.61 |
7,808.49 |
6,946.54 |
6,651.65 |
6,322.64 |
6,380.50 |
6,380.50 |
|
3 |
其他业务收入 |
- |
- |
- |
- |
- |
- |
- |
|
4 |
二.营业总成本 |
536.83 |
536.20 |
534.54 |
542.85 |
532.73 |
552.10 |
552.18 |
|
5 |
其中:主营业务成本 |
536.83 |
536.20 |
534.54 |
542.85 |
532.73 |
552.10 |
552.18 |
|
6 |
其他业务成本 |
- |
- |
- |
- |
- |
- |
- |
|
7 |
税金及附加 |
79.33 |
58.83 |
52.38 |
50.18 |
47.72 |
48.17 |
48.17 |
|
8 |
销售费用 |
- |
- |
- |
- |
- |
- |
- |
|
9 |
管理费用 |
159.40 |
221.99 |
231.52 |
240.49 |
247.18 |
253.70 |
253.70 |
|
10 |
研发费用 |
2,790.18 |
3,888.16 |
4,044.33 |
4,197.67 |
4,312.52 |
4,417.97 |
4,417.97 |
|
11 |
财务费用 |
257.80 |
257.82 |
257.82 |
257.82 |
257.82 |
257.82 |
257.82 |
|
12 |
其他收益 |
- |
- |
- |
- |
- |
- |
- |
|
13 |
三.营业利润 |
6,729.07 |
2,845.49 |
1,825.95 |
1,362.64 |
924.67 |
850.74 |
850.66 |
|
14 |
加:营业外收入 |
- |
- |
- |
- |
- |
- |
- |
|
15 |
减:营业外支出 |
- |
- |
- |
- |
- |
- |
- |
|
16 |
四.利润总额 |
6,729.07 |
2,845.49 |
1,825.95 |
1,362.64 |
924.67 |
850.74 |
850.66 |
|
17 |
企业所得税率 |
25% |
25% |
25% |
25% |
25% |
25% |
25% |
|
18 |
减:所得税 |
256.68 |
256.56 |
- |
- |
- |
- |
- |
|
19 |
五.净利润 |
6,472.39 |
2,588.93 |
1,825.95 |
1,362.64 |
924.67 |
850.74 |
850.66 |
|
20 |
加:固定资产折旧 |
38.03 |
50.70 |
27.28 |
34.57 |
47.32 |
25.50 |
27.44 |
|
21 |
摊销 |
18.61 |
24.81 |
24.81 |
19.46 |
- |
- |
8.27 |
|
22 |
利息费用(扣除税务影响后) |
193.29 |
193.29 |
257.73 |
257.73 |
257.73 |
257.73 |
257.73 |
|
23 |
减:营运资金追加额 |
218.12 |
-1,996.40 |
-154.33 |
-66.96 |
-78.52 |
26.47 |
- |
|
24 |
减:资本性支出 |
- |
- |
40.26 |
40.26 |
40.26 |
- |
35.71 |
|
25 |
六.企业自由现金流量 |
6,504.20 |
4,854.13 |
2,249.84 |
1,701.10 |
1,267.98 |
1,107.50 |
1,108.39 |
|
26 |
1、年折现率 |
13.73% |
13.73% |
13.73% |
13.73% |
13.73% |
13.73% |
13.73% |
|
27 |
2、折现期 |
0.3750 |
1.2500 |
2.2500 |
3.2500 |
4.2500 |
5.2500 |
|
|
28 |
3、折现系数 |
0.9529 |
0.8514 |
0.7486 |
0.6582 |
0.5787 |
0.5088 |
3.7058 |
|
29 |
4、自由现金流量折现值 |
6,197.85 |
4,132.81 |
1,684.23 |
1,119.66 |
733.78 |
563.50 |
4,107.47 |
|
30 |
4、企业现金流量的折现值评估值 |
18,539.30 |
5、加:企业溢余及非经营性资产 |
57.07 |
||||
|
31 |
6、减:有息负债 |
5,727.22 |
7、企业股东全部权益价值评估值 |
12,869.00 |
||||
(4)资产基础法评估主要项目构成
经资产基础法评估,杭州雷焰总资产账面价值为5,876.84万元,评估价值为6,764.40万元,增值额为887.56万元,增值率为15.01%,总负债账面价值为6,621.92万元,评估价值为6,621.92万元,评估无增减值;净资产账面价值为-745.08万元,评估价值为142.48万元,增值额为887.56万元,增值率119.12%,详见下表:
单位:万元
|
项目 |
账面价值 |
评估价值 |
增减值 |
增值率 |
|
|
A |
B |
C=B-A |
D=C/A×100% |
||
|
1 |
流动资产 |
4,664.39 |
4,664.39 |
- |
- |
|
2 |
非流动资产 |
1,212.45 |
2,100.01 |
887.56 |
73.20 |
|
3 |
其中:固定资产 |
130.35 |
138.45 |
8.10 |
6.21 |
|
4 |
在建工程 |
- |
- |
- |
- |
|
5 |
无形资产 |
- |
879.46 |
879.46 |
- |
|
6 |
其他非流动资产 |
1,082.10 |
1,082.10 |
- |
- |
|
7 |
资产总计 |
5,876.84 |
6,764.40 |
887.56 |
15.10 |
|
8 |
流动负债 |
6,621.92 |
6,621.92 |
- |
- |
|
9 |
非流动负债 |
- |
- |
- |
- |
|
10 |
负债总计 |
6,621.92 |
6,621.92 |
- |
- |
|
11 |
净资产(所有者权益) |
-745.08 |
142.48 |
887.56 |
119.12 |
资产评估法下,杭州雷焰的无形资产评估增值较大,本次纳入评估范围的无形资产系杭州雷焰的商标权和账外软件著作权,在评估中采用了销售收入分成的收益法评估方法,导致相较于账面值出现增值。
四、本次交易协议的主要内容
2020年8月7日,公司(甲方)分别与许洪健(乙方一)、杨淑婷(乙方二,乙方一与乙方二合称乙方)签署了《关于海南华多网络科技有限公司的股权转让协议》、《关于杭州雷焰网络科技有限公司的股权转让协议》。协议主要内容如下:
1、股权转让
双方经协商一致,许洪健同意将其所持海南华多100%股权(对应出资额1,000万元)、杨淑婷同意将其所持杭州雷焰100%股权(对应出资额1,000万元)转让予甲方,甲方同意受让。
2、标的资产的交易价格
中水致远对标的股权进行了评估,本别出具了《名臣健康用品股份有限公司拟收购股权所涉及的海南华多网络科技有限公司股东全部权益价值项目资产评估报告》(中水致远评报字[2020]第070017号)、《名臣健康用品股份有限公司拟收购股权所涉及的杭州雷焰网络科技有限公司股东全部权益价值项目资产评估报告》(中水致远评报字[2020]第070018号。交易双方以该评估报告确定的评估值为参考,协商确定海南华多100%股权的转让价格为13,262万元,杭州雷焰100%股权的转让价格为12,869万元。
3、股权转让价款的支付
经双方协商同意,标的股权转让价款按以下方式支付:
协议签署后两个工作日内,甲方向许洪健预付股权转让款7,600万元,向杨淑婷预付股权转让款7,400万元;协议生效后,该等预付款自动转为股权转让款;甲方股东大会审议通过本次股权转让后十个工作日内,甲方向许洪健支付剩余股权转让款5,662万元,向杨淑婷支付剩余股权转让款5,496万元。
4、滚存未分配利润和期间损益
双方同意,海南华多、杭州雷焰截至基准日的滚存未分配利润以及基准日后实现的净利润归甲方享有。
双方同意并确认,自基准日起至股权交割日止,海南华多及杭州雷焰在此期间产生的收益或因其他原因而增加的净资产部分由甲方享有;海南华多及杭州雷焰在此期间产生的亏损或因其他原因而减少的净资产部分由乙方一和乙方二各自承担。双方同意并确认,标的股权交割后,由具有证券、期货业务资格的审计机构对海南华多及杭州雷焰进行审计,确定基准日至股权交割日期间标的股权产生的损益。若股权交割日为当月15日(含15日)之前,则期间损益审计基准日为上月月末;若股权交割日为当月15日之后,则期间损益审计基准日为当月月末。
5、业绩承诺和补偿
许洪健向甲方承诺:海南华多2020年4-12月、2021年度和2022年度累计实现的净利润不低于9,100万元。
杨淑婷向甲方承诺:杭州雷焰2020年4-12月、2021年度和2022年度累计实现的净利润不低于10,900万元。
双方同意,海南华多和杭州雷焰于承诺期内实际实现的净利润情况,以《专项审核报告》结果为准。如海南华多、杭州雷焰在承诺期内累积实现净利润数低于承诺净利润数,则乙方一及乙方二应向甲方支付补偿,补偿金额按照如下方式计算:
应补偿金额=(利润承诺期间累积承诺净利润数-利润承诺期间累积实现净利润数)÷利润承诺期间累积承诺净利润数×标的股权转让总价款。其中利润承诺期间累积承诺净利润数,就许洪健而言,即9,100万元;就杨淑婷而言,即10,900万元。如乙方根据协议约定负有业绩补偿义务,应在2022年度《专项审核报告》在指定媒体披露后的十个工作日内将补偿金额一次性汇入甲方指定的银行账户。
6、标的股权交割及其后的整合
协议生效后,由乙方一及乙方二各自负责办理标的股权交割的工商变更登记手续,工商变更登记手续在本协议生效之日起两个月内办理完毕(但由于工商主管部门原因导致不能办理或者办理时间过长的除外)。甲方应就办理标的股权交割提供必要的协助。
股权交割日至海南华多、杭州雷焰各自的2022年度《专项审核报告》出具之日止,海南华多和杭州雷焰的公司治理结构安排如下:
(1)海南华多和杭州雷焰的董事会均由3人组成,其中上市公司均各自向海南华多和杭州雷焰委派2名董事;
(2)海南华多的总经理由乙方一提名,杭州雷焰的总经理由乙方二提名,海南华多、杭州雷焰的董事会如无合理理由不应否决,在遵守国家法律法规及上市公司各项规章制度的前提下,海南华多、杭州雷焰的总经理将享有充分的管理授权;
(3)上市公司根据需要各自向海南华多、杭州雷焰的委派财务负责人,该财务负责人直接向上市公司汇报工作,接受上市公司垂直管理;
(4)海南华多、杭州雷焰的的基本财务核算原则应参照上市公司的要求,遵守于上市公司子公司的管理制度,包括合同管理、项目预算、收入确认、现金流管理、坏账准备、采购管理、发票管理、现金管理、子公司间内部结算、固定资产折旧、审计费用摊销等规定。
标的股权交割后,为保证海南华多和杭州雷焰的团队的稳定,甲方同意,将适时实施员工股权激励,并将海南华多和杭州雷焰核心人员纳入股权激励范畴。
7、任职和竞业禁止
为保证海南华多持续发展和保持持续竞争优势,乙方一及乙方二各自承诺,本次股权转让完成后三年内,海南华多、杭州雷焰现有核心人员保持基本稳定不变,并促海南华多、杭州雷焰与其核心人员签署竞业禁止协议。
8、协议生效、补充、解除与终止
本协议经双方签字盖章后成立,并在以下条件全部满足之日起生效:
(1)甲方董事会审议通过本次股权转让;
(2)甲方股东大会审议通过本次股权转让。
若甲方董事会或股东大会未能审议通过本次股权转让,乙方应在相应董事会或股东大会决议作出之日起十五个工作日内向甲方返还甲方已支付的股权转让预付款,并加计同期银行贷款利息。
除本协议另有约定外,经双方协商一致,可以书面形式解除本协议。
公司自1994年创立以来,一直扎根于日化行业,已经发展成为一家集研发、生产、销售健康护理用品的高新技术企业,本着“创民族品牌,做百年名臣”的愿景,先后打造了“蒂花之秀”、“美王”等广东省著名商标。随着日化专营店、电商零售、网红带货等新兴业态发展,加之消费者对品牌粘性降低等不利因素,公司所在的日化行业竞争日益加剧,公司业务发展面临瓶颈。
2020年伊始,突如其来的新冠肺炎疫情对我国国民经济的发展产生了一定的影响,特别是一季度,企业生产不能正常复工或维持较低的开工率,给制造业带来了较大的冲击,而在消费端,受疫情期间居家隔离等多重因素的制约,居民消费受到短期抑制。而疫情期间,人们的线下娱乐减少,线上消费热度快速升高,网络游戏成为居家娱乐的首选方式之一,主要游戏公司的业务都出现了显著增长。
根据数字研究机构伽马数据发布的《2019中国游戏产业年度报告》显示,2019年中国游戏市场的实际销售收入为2,330.2亿元,同比增长8.7%,在海外市场和移动游戏市场的拉动下,中国游戏市场的整体增速回升。其中移动游戏市场继续保持较高增速,易观数据发布的《中国移动游戏市场年度综合分析2020》显示,2019年中国移动游戏的市场规模为1,850.2亿元人民币,增长率为15.5%。受疫情影响,2020年1月,中国移动游戏市场较之去年同期增长49.5%,环比增长37.5%。根据中商产业研究院的预测,我国内地移动游戏市场预计2019-2024年市场规模将按照11.7%的复合年增长率发展,到2020年市场规模有望超过2,000亿元,到2024年底,这一规模将超3,000亿元。
与此同时,游戏文化产业的发展也得到了国家有关部门的重视和鼓励。2019年6月,文化和旅游部对《文化产业促进法(草案征求意见稿)》公开征求意见,征求意见稿指出,国家鼓励文化产业内容、技术、业态等方面的创新,营造有利于涌现文化精品和人才的社会环境。国家将促进文化产业发展纳入国民经济和社会发展规划,并制定促进文化产业发展的专项规划。2020年2月16日,《求是》杂志2020年第4期发表习近平总书记的重要文章《在中央政治局常委会会议研究应对新型冠状病毒肺炎疫情工作时的讲话》。文章指出,“着力稳定居民消费。扩大消费是对冲疫情影响的重要着力点之一。要加快释放新兴消费潜力,积极丰富5G技术应用场景,带动5G手机等终端消费,推动增加电子商务、电子政务、网络教育、网络娱乐等方面消费”。这都为网络游戏行业发展带来了积极信号,网络游戏行业将有机会步入新的发展快车道。
在这一背景下,公司决定通过收购海南华多、杭州雷焰100%股权,快速切入了具备广阔市场前景的游戏行业,缩短了重新聘请团队再稳步经营开拓的时间周期,降低了上市公司进入新业务领域的人才、管理风险。本次交易完成后,上市公司的盈利能力将得到明显提升,实现在新业务领域的开拓,为更好的回报投资者创造了条件,海南华多、杭州雷焰作为上市公司的重要子公司也将受到更多的关注,提高市场知名度。
海南华多、杭州雷焰均专注于以移动网络游戏或网页游戏产品的研发为基础的文化创意业务,其核心团队均具有丰富的行业经验。通过本次交易,海南华多、杭州雷焰将成为上市公司全资子公司,纳入上市公司合并报表范围,上市公司将新增网络游戏研发业务,同时借助移动互联网平台和游戏用户,利用场景或产品植入等手段吸引年轻消费者,探索实现原有品牌的年轻化升级,并借此次交易进一步拓展业务机会,培育新的业绩增长点,增强盈利能力。
根据致同出具的《审计报告》显示,2020年1-3月,海南华多、杭州雷焰分别实现净利润5,163.63万元、2,618.83万元,具备较强的盈利能力。海南华多开发游戏《王者国度》、杭州雷焰开发游戏《百龙霸业》上线后连续多月月流水保持在1亿人民币以上,《王者国度》月峰值流水甚至高达3.5亿。同时,本次交易的交易对方分别承诺,海南华多2020年4-12月、2021年度和2022年度累计实现的净利润不低于9,100万元,杭州雷焰2020年4-12月、2021年度和2022年度累计实现的净利润不低于10,900万元。如标的公司业绩承诺顺利实现,本次收购完成后,上市公司合并口径收入规模将进一步提升,公司持续经营能力、抗风险能力、盈利能力将得到明显增强,进而提升上市公司价值,更好地回报股东。
六、独立董事意见
就本次交易,公司独立董事发表意见如下:
“经核查,我们认为,公司董事会审议和表决程序符合相关法律、法规和《公司章程》的规定,不存在损害公司及股东权益的情形;本次交易遵循公开、公正、公平、合理的原则,不存在损害公司及股东特别是中小股东利益的情形;公司收购海南华多100%股权和杭州雷焰100%股权有利于实现公司外延式扩张、提升公司盈利能力,符合公司经营发展需要。同时,交易价格将以具备资质的评估机构评估的结果作为依据,定价公允、合理。我们同意公司收购海南华多100%股权和杭州雷焰100%股权的事项。”
就本次交易涉及的评估相关事项,公司独立董事发表意见如下:
“经审核,我们认为,本次交易选聘的评估机构的程序合法合规,中水致远资产评估有限公司是具有证券业务资格的评估机构,具有胜任能力。中水致远资产评估有限公司与上市公司及交易对方不存在任何关联关系,具有独立性。
本次评估的假设前提按照国家有关法律和规定执行,遵循了市场通用的惯例或准则,符合评估对象的实际情况,评估假设前提具有合理性。
本次评估的目的是确标的资产截至评估基准日的市场价值,作为本次交易定价依据的参考。中水致远资产评估有限公司采用资产基础法和收益法对标的资产价值进行了评估,并最终采用收益法的评估结论。评估机构在评估过程中实施了相应的评估程序,遵循了独立性、客观性、科学性、公正性等原则,运用了合规且符合标的资产实际情况的评估方法,选用的参照数据、资料可靠,评估方法选用恰当,评估结论合理。”
七、备查文件
1、第二届董事会第十一次会议决议;
2、第二届监事会第十一次会议决议;
3、独立董事关于公司第二届董事会第十一次会议相关事项的独立意见;
4、公司与许洪健签订的《关于海南华多网络科技有限公司的股权转让协议》、与杨淑婷签订的《关于杭州雷焰网络科技有限公司的股权转让协议》;
5、致同会计师事务所(特殊普通合伙)出具的致同审字(2020)第351ZB11122号、致同审字(2020)第351ZB11124号审计报告;
6、中水致远资产评估有限公司出具的中水致远评报字 [2020]第070017号、中水致远评报字[2020]第070018号资产评估报告。
特此公告。
名臣健康用品股份有限公司
董事会
二〇二〇年八月七日